フィックの第一法則
さて,いままで拡散に対する時間,距離に関する定量的な議論をしてきましたが,ここでは基本となる拡散方程式を理解していきましょう.
まずは,フィックの第一法則,です.
ここでは,
生物学におけるランダムウォーク,を参考としました.
また,卒業生である佐川君の資料も参考にしました,ありがとうございます.
まずは,単純な一次元のモデルから考えていきましょう.
ここ,でも書きましたように,
まず,1次元の空間を考えます.
粒子は,この1次元上しか運動できない,とします.
そして,条件として,
1.各粒子は速度vでτ秒ごとにδ=vτだけ,右か左に移動する
2.左右に移動する確率は1/2で等しい
3.各粒子は他のすべての粒子と無関係に動く
というものを与えます.

そして,ある地点,x,とそのとなり,x+δ,を考えます.

ここでは,複数の粒子を扱いますので,x地点には,N(x)個の分子が存在すると考えます.
つまり,単位時間に,
その半分が右へ,半分が左へ,
移動するわけです.
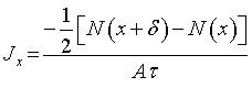
では,xとx+δの間の分子の移動は,1/2N(x+δ)だけ減少し,1/2N(x)だけ上昇することになるので,

となります.さて,これを三次元に拡張するために,断面積Aの直方体を考えます.

時間間隔τあたりの流束は,

となります.少し変形して,

となります.角括弧の各項は,単位体積あたりの分子数となるので,濃度となるので,

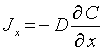
となります.ここで,定数Dをこの関係式を用いて利用します.
δ→0の極限では,偏微分となり,

となります.これがフィックの第一法則です.
次に,第二法則を求めてみましょう.