無限和の求め方

さて,級数の形式が,以下の場合,

aの値により,収束したり,発散したりします.
収束する場合,
 -1 < a < 1
となります.

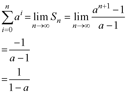
無限和の場合,前ページのnを無限大まで持って行けばいいのです.

となります.

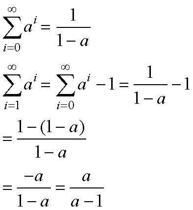
では,1から始まる場合はどうでしょう?これも簡単,0から始まる場合を計算して,0での値を引けばいいだけ.

では,実際に,指数関数の場合に適用してみましょう.

l t r