・指数関数の場合

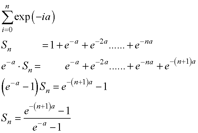
全く同じ手法です.

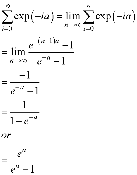
無限和にするにも同じ.

となります.

a=1/A,にすれば,

となります.

では応用編に行きましょう.

l t r