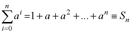
まずは簡単な等比級数の和から.
等比級数とは,

という式で表すことのできるものです.
1, 2, 4, 8, 16........
などですね.
さて,この無限和はどのようになるでしょう?
上の例ではもちろん無限大になります.
ですので,ここでは,
-1 < a < 1
と言う条件の下での計算を行います.
そうすれば,もし,
a=0.5
であれば,
1, 0.5, 0.25, 0.125, 0.0625.......
となって,いずれ0に近づき,その無限和も収束します.
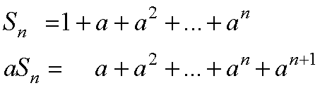
この無限和を求めるには,以下の方法を用います.
1)求める和をSとおく
2)公比rをかけてaSを作る
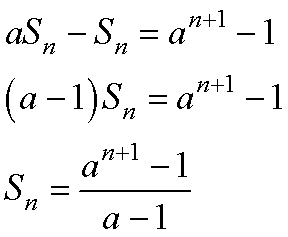
3)S-aSを求めると,中間項が消えて,Sが求まる
では,順番に.
1)求める和をSとおく.

2)公比aをかけてaSを作る

3)S-aSを求める

きれいに消えるでしょう,中間項が.
このようにして,級数の和を求めます.
次に,無限和を求めましょう.