さて,前ページに示した,フーリエ変換の図をもう一度眺めてみましょう.

ちょっとプログラムを変更しています.
左の図の実波形は,
![]()
というサイン波を示しています.
ここで,
A:振幅
ω:周波数 [1/s]
T:周期 [s]
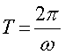
であり,周波数と周期との関係は,

となっています.
ですので,
サイン波の中央から山のピーク:A
山と山との間隔:T
となっています.
さて,右のフーリエ変換の図を見ると,
ピークの横軸:1/T
ピークの高さ:A/(21/2)
となっていて,見事対応していることがわかりますね.
高さが合っていない?
これは,実効値,を示しているからです.
実効値に対する説明は,こちら...
ピーク値を示す方法もありますが,混乱しないように,
実際のプログラムなどには,
Vrms
などの表記があります.
ちなみに...二つの周波数の混在した波形は,

このようにきれいに分離できます.
次ページではもう少し詳しく,実波形と,フーリエ変換との関係を見ていきましょう.