さて,実効値の求め方ですが,まずは,直流の場合を考えてみましょう.
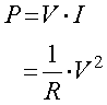
電圧,電流,抵抗との間には,
![]()
の関係があります.
ここで,
V:電圧
R:抵抗
I:電流
です.
電力(P)は,

となります.
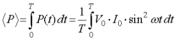
では,交流の場合はどうなるのでしょう?
電圧,電流ともに時間とともに変化するので,このままでは計算できませんね.
そこで,

とおくと,電力は,
![]()
となります.
これを1周期分で積分してみましょう.

ここで,

なので,

となり,実際の電圧の振幅をルート2で割ったものが,実質的(実効的)な電圧となります.