Hillの式-05
Hillの式の導出方法,n,の場合

n,の場合には,

上記の法則性に従って,

となります.
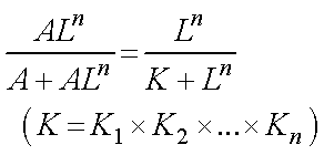
ここで,Kの次元は[Mn]となってしまうので,半分飽和した濃度として,

とおけば,KAの次元は,[M],となり,

となります.
実際にエクセルで計算してみると,

となります.

l t r