Hillの式-04
Hillの式の導出方法,n=3の場合

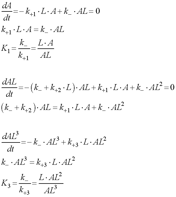
n=3の場合には,

厳密には,

となります.
A,AL,AL3の状態は,

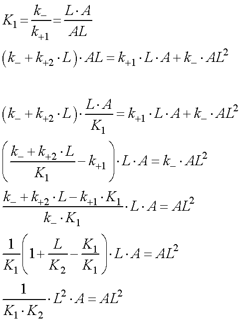
となります.平衡状態を考えると(複雑ですが),

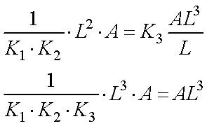
となりますので,

より,

中間状態はほとんど存在しないと考えると,AL3の割合は,

 

 

となります.n=2,の場合と同様の式となりますね.
nがLの肩に掛かると言う意味で.

l t r