Hillの式-06
Hill係数とは?
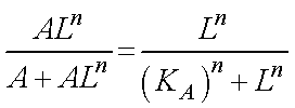
Hillの式は,今までの計算のように,

となりましたね.

さて....ここからは不確定な議論ですが.....
n,の持つ意味
はいったい何なんでしょう?
実際の実験で上記のグラフのようなカーブを作り,Hillの式でフィッティングを行い,Hill係数,n,を見積もるのですが,私の今までの理解では,
n : 協同性の強さ
と理解していたのですが,計算によると,
n : 何ステップが協同性により早められるのか?
ではないのかな?と思いました.
協同性の強さ,は,

であり,最初のステップの平衡定数に比べて,次移行のステップの平衡定数がどの程度違うか,が指標になるのかな?と思いました.
これに関しては,まだまだ勉強しなくてはなりません....