Hillの式-03
Hillの式の導出方法,n=2の場合

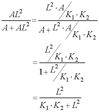
もしくは,

であるので,中間状態であるALはほとんど存在しないと考えてもいいと思います.AL2の割合は,

と表すことができるので,

となります.ここで, ,を見かけの解離定数と呼びます.

 

l t r