Hillの式-02
二つの基質が結合する場合,2倍ではなく2乗なのはなぜか?
アロステリックとは,基質が一つ結合すると,二つ目以降の基質が結合しやすくなることと考えると,その反応式は,

となります.しかし,ふと思ったのですが,なぜ,A(2L)ではないのだろう?と思い,検討し見ようと思いました.
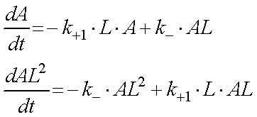
上記の反応式は基質Lが二つ結合する反応スキームですが,厳密には,

となりますね,つまり途中のステップを省略しているわけです.
ここで,二つ目以降の基質が結合しやすくなるため,
![]()
と考えることにしましょう(逆反応をいじっても良さそうですが...).
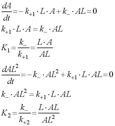
AとAL2の状態は,

となります.平衡状態においては,時間微分は0となるので,

と各平衡定数を計算することができます.
従って,AからAL2への平衡定数は,

となり,2倍ではなく,2乗となるわけです.