私の考えた,s/n,は,
蛍光強度が背景光に比べてどの程度の割合か?
というものでした.
結果的には,Loの定義とは違っていて悩んだのですが...
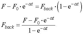
さて,蛍光強度の退色は,先に示したように,
![]()
で表すことができます.
私はこの,Fbackをノイズとして考えたのです.
では,その線で解いていきましょう.

従って,s/nは,

となり,Loの式とは全然違います.
何回かLoとメールのやりとりをし,結果的にわかったのは,
s/nの定義の違い
と言うものでした...
それを次に示しましょう.