次の問題,
蛍光退色における,s/nの定義,p362の左下の式
これが悩みました....
まだ,完全ではないですが,Loはこういうことを言いたかったんだな,となんとか理解しました.
その式が,これ,

s/n,とはsignal to noise ratio,ですので,
実際の計測した値がノイズとどの程度の大きさを持っているか
を表したものです.
蛍光強度の実験は,日々,退色との戦いです.
どんなにがんばっても,蛍光は退色します.
従って,蛍光強度から何か言おうとするならば,蛍光の退色をきちんと考慮に入れた解析が必要となります.
この式も,そのために使われています.
実際,この論文でも実験のはじめには,s/n=50程度あったのが,ある程度退色すると,s/n=2程度まで下がり,正確な計測ができなくなる,と言っています.
その様子を,図3に示しています.

Lo et. al., 2006, BJより
横軸は照射エネルギーの積算値ですが,一定の照射強度であれば,照射時間でもかまいませんね(図3Aはそうなっています).
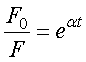
つまり,最初蛍光強度は,F0,あったのが,どんどん減少していく,というものです.
同じ蛍光色素の数でも....
これを補正するには,まず単純な場合,背景光がない場合,を考えていきましょう.
そのときのフィッティングカーブは,
![]()
となります.
減少分を補正するので,

の値を,各時間のデータに掛けてあげればいいわけです.
背景光が入ったとしても,ちょっと数式が複雑になるだけです.

を係数として掛ければいいわけですね.
では,蛍光強度における,
s/n
はどう考えればいいのでしょう?
ここが,私が引っかかってしまったわけです.
Loの説明をする前に,私が勘違いしたs/nを説明しましょう.