第二項が0となる理由-02

まずは最初の項目.

回帰直線は以下の式で表されます.

両辺に,xi,をかけると,

iについて足しあわせると,

右辺は,各点における回帰分析による推定値と実測値との差,ei,の二乗をaで偏微分したものと等しくなります(ここを参照).

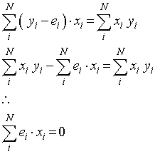
従って,

yの推定値を書き換えると,

従って,

となり,0となります.

l t r