誤差関数と正規分布,ほとんど兄弟のような関係ですが,その対応についてはあまり語られていない気が....
一応,Wikiなどでも,
一連の何らかの測定値が正規分布になっていて、標準偏差が \sigma、期待値が0の場合、1つの測定値の誤差が-aとaの間になる確率は....
と書かれていますが,結構あっさりと...
ですので,ここでは両者の対応をきちんと考えていきましょう.
誤差関数とは,

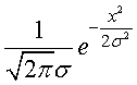
正規分布とは,

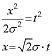
であり,誤差関数の指数部分と正規分布の指数部分はよく似ていますね.

とおけば,等しくなります.
つまり,誤差関数とは(私の理解では),
標準偏差が1/20.5≒0.71である正規分布の原点からaまでの領域の割合
と言うことができます.

では,σ,の標準偏差を持つ正規分布の場合,0からaまでの範囲での割合を誤差関数で表してみましょう.