誤差関数と正規分布-02

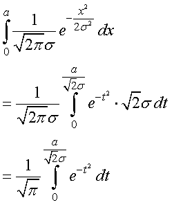
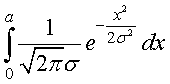
を計算してみましょう.
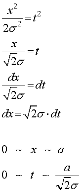
変数変換を行い,

から,

を得ることができます.積分の項はまさしく誤差関数ですので,


となります.

実際に計算してみると,Wiki,などにも書かれているように,±1σ,±2σ,±3σ,の領域の割合は,

  正規分布 誤差関数
±1σ 0.6827 0.68269
±2σ 0.9545 0.9545
±3σ 0.9973 0.9973

と一致することがわかります(誤差関数は0からaまでの値なので,±を考慮するために2倍しますが).

l t