単純な例として,
0~1の間でランダムに数字を発生させ,平均,分散を求める
を行ってみましょう.
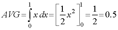
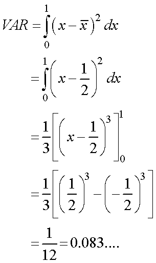
平均,分散は,計算から,
・ 平均

・ 分散

となります.
シミュレーションとしては,LabView,を用いて,
乱数を多数発生させる
そこから一部を取り出し,平均,分散を出す
この作業を多数行い,平均(平均の平均,分散の平均)を導き出す
という作業を行ってみましょう.
その結果,

となり,やはり,n-1,の方が正しい値となりますね.
シミュレーションプログラムを,こちら,に置いておきますので,参考にしてみてください.