では,本題である,実際の実験で得られた分散値,s2,を考えていきましょう.

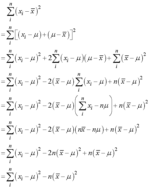
1/n,を除いた部分だけ考えていくと(後で期待値を求めるので,今nで割る必要はない),

となります.
第一項の期待値は,前ページの,ずれの二乗の期待値を使って,

となります.
第二項の期待値は,前ページの,平均値の散らばり,から,

となります.従って,

と標本の散らばりは,n-1,で割ることとなります.このことを,不偏分散,と呼びます.
では,実際に,n-1,で計算するとどうなるかを次ページで考えていきましょう.