2.t+dtの間に事象が起こる確率

では,次に,t+dt,の間に事象が起こる確率はどうでしょう?

これは,とても簡単で,

となります.

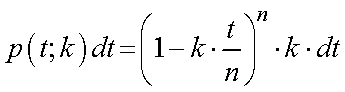
3.t+dtの間に初めて事象が起こる確率

これが求めたい結果ですが, この確率は上記の,1,2の積となるので,

となります.

ここで,

の,n→∞,は,

となりますので(解法はここ),

となり,指数分布となることがわかります.

l t