1.tより短い時間で事象が起こらない確率

さて,まずは,時間を細かく区切って考えましょう.

時刻0からtまでの間の時間をn等分します,
つまり時刻0からtまでt/nという時間間隔で区分します.
単位時間に事象が起こる確率を,k,とします.
すると,0~t/nの間に事象が起こる確率は,

となります.
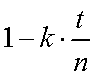
逆に,この時間内に事象が起こらない確率は,

ですね.
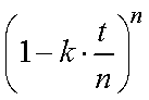
n個の区分において,すべて事象が起こらない確率は,

となります.

これで,一つ目の項目の確率の計算ができました.

l t r