ボルツマン分布からエネルギー等分配則を求めてみる-01

 

さて,気体の分子の運動と理想気体の状態方程式からエネルギー等分配則を求めましたが,分子の運動エネルギーのボルツマン分布から求めてみましょう.

これは,
 生物学におけるランダムウォーク
の日本語版のp.73にさらりと書かれているのですが,実際に計算してみましょう.

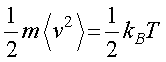
x軸方向に速度vで動く質量mの粒子は等分配則により,平均<v2>で移動し,その関係は,

となります.
この速度の二乗の平均値は,ある速度とその確率,P,で計算できますので,

となります.この確率,P,がボルツマン分布に従うので,

となります.
生物学におけるランダムウォーク,では,さらりと...”定積分の公式から..”とあるのですが,さて....結構難しい積分です.
分母は誤差関数から何とか求めることができるのですが(ここに記載),分子が....

でも..ふと気づきました....これって正規分布じゃないか....とつまり,

とよく似ていますよね,これならある程度答がわかっていますので,これを用いて計算を行ってみましょう.

まずは,簡単な分母から.

 

l tr