ボルツマン分布からエネルギー等分配則を求めてみる-01-2

熱平衡において,10kBT以上のエネルギー状態でいる確率

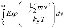
さて,気体の分子の運動と理想気体の状態方程式からエネルギー等分配則を求めましたが,分子の運動エネルギーのボルツマン分布からも求めてみましょう.

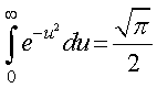
以下の式の計算を行ってみましょう.

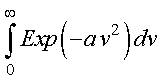
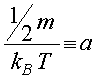
簡単のため,

とおけば,

となります.変数変換して,

ここで,誤差関数を持ち出して,

から,

となります.従って,

生物学におけるランダムウォーク の日本語版のp.73の(5.8)式の分母となります.

もどる