MSDプロットで原点を通らない場合-04

 

ここで,

とすると,

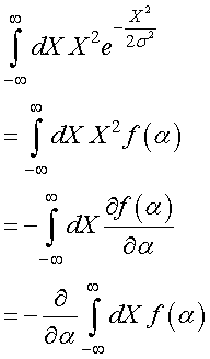
となり,

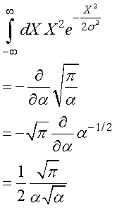
となり(すいません,最後の積分と微分の順番を入れ替える操作,証明していません),

となります.
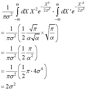
従って,

と言う結果を得ることができ,

元の正規分布の分散の2倍となります.

また,奇関数で削除した部分は符号は関係ないので,

も成り立つことになります.

このように,MSDプロットにおいて原点を通らない場合,実験データにノイズが含まれている可能性があります.

 

l t