まずは,正規分布のノイズのみの場合のMSDプロットがどうなるかを考えましょう.
この場合は,その分布は中心の周りに分布し,その値は時間には依存しませんので,dt,に関係なく一定の値になると思われます.
つまり,

正規分布の任意の二点をピックアップし,その差分の二乗平均を求める
ことを行えばいいのです.
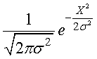
さて,正規分は,

で表すことができます.
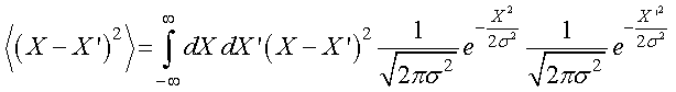
今,同一の正規分布の二点間の距離の二乗平均を求める場合には,

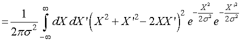
を計算すればよいこととなります.これは,

のように書き換えることができます.ここで,括弧内の第三項は奇関数なので積分すると,0,となります.
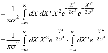
また,括弧内の第一,第二項は同じなので,どちらかを計算して2倍すればよく,さらに積分を二つに分けることができるので,

とすることができます.
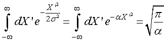
ここで,簡単のため,
![]()
とおけば,

と二つ目の積分は簡単に解くことができます.
問題は一つ目の積分です.
それは次のページで説明します.