正弦波を入力した際の応答,その4

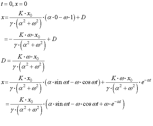
初期条件は,前と同様に,

とすると,

だいぶすっきりしましたね.
しかし,sin波とcos波が入った式って,直感的にどうなっているかわかりませんね.
そこで,もう少しがんばって,さらに単純化しましょう.

l t r