フィックの第二法則 - 球殻
次は,極座標系での拡散方程式,を考えていきましょう..
今度は,球殻を考えますが,検討するエリアを,
rとx+Δrの間の空間
とします.
また,長さを,Δz,とします.

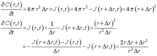
この球殻に拡散により流入する分子の量は,

となります.
前ページにもありますように,単位時間あたりの濃度変化と等しいので,

ここまでは,前ページの円筒と同じです.
ここから計算が異なり,球殻自体の体積ΔV,面積ΔSin,ΔSoutはそれぞれ,

と近似できるので,

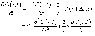
となります.Δrが十分小さいときには,

となります.これが球殻における拡散方程式です.
円筒に比べて,第二項の係数が2になっているだけですね.