フィックの第二法則 - 円筒
次は,円柱座標系での拡散方程式,を考えていきましょう..
今度は,円筒を考えますが,検討するエリアを,
rとx+Δrの間の空間
とします.
また,長さを,Δz,とします.

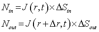
この円筒に拡散により流入する分子の量は,

となります.
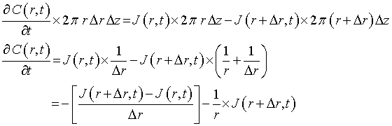
前ページにもありますように,単位時間あたりの濃度変化と等しいので,

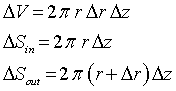
円筒自体の体積ΔV,面積ΔSin,ΔSoutはそれぞれ,

と近似できるので,

となります.Δrが十分小さいときには,

となります.これが円筒における拡散方程式です.
次に,球殻における拡散の様子を考えていきましょう.