弾性(バネ)エネルギー

バネも同様な考え方で計算できます.
何も力を入れていない状態から,力,F,を与えて,バネの伸びを0からxまで変化させるときに必要なエネルギーを計算します.

フックの法則は,

でしたね.
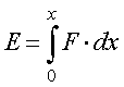
エネルギーは,以下の式で表すことができます.

これを変形して,

となります.
運動エネルギーとよく似ていますね.

これは図で表すと,


のようになります.
バネを0からxまで伸ばしたときの力,F,の変化を積分したもの(赤い斜線の面積)が必要となるエネルギー,1/2Kx2,となります.

 

l t r