次は,運動エネルギーです.
速度,v,を持った物体のエネルギーを計算するのですが,考え方としては,
その状態まで持って行くのに必要なエネルギー
として考えてみましょう.
つまり,
速度0からvまで物体の速度を上げるのに必要なエネルギー
と言うことになります.

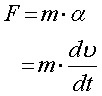
まずは,物体にかかる力から.

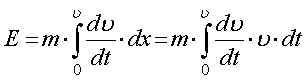
速度,v,まで上げるのに必要なエネルギーは,

となりますので,

となります.
速度は,

なので,

となります.
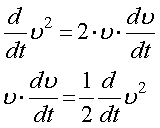
ここで,積分の中身を変形してみましょう.

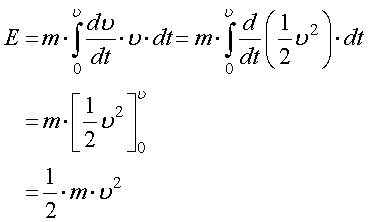
従って,

となり,質量に比例し,速度の自乗に比例することとなります.
次は,弾性(バネ)エネルギーです.