アロステリックモデル-04

次に,基質飽和度,Y,を考えましょう.
ストライヤーによると,飽和度の定義は,
 活性部位のうち,基質で選挙されているもののの割合
とありますので,

となります.

ここで,

となりますので,

とちょっと面倒ですが,ストライヤーに表示されている式を導き出すことができます.

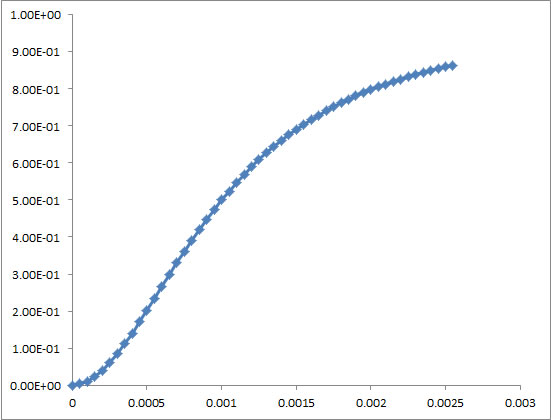
グラフで表すと,

となり,シグモイド型のプロットとなることがわかります.

l t r