アロステリックモデル-03

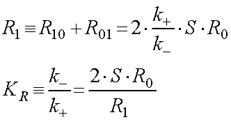
先のページでは,基質一つがついた状態を,R1,としましたが,結合サイトが2つあるので,二状態あります.
それを,R10,R01とすると,

と考えることができます.
こう考えたときの平衡状態は,

よって,

となり,先の式の導出ができました.

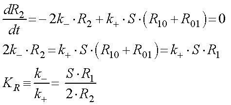
次は,二つ目の基質が結合する場合ですが,これも二状態あり,

のように書くことができます.
従って,平衡状態において,R2は,

となり,先の式の導出が完了しました.

次に,基質飽和度を考えていきましょう.

l t r