さてここで,背景光,を考えましょう.
前の式は,理想的な状態で,
ナトリウムが存在しないと真っ暗になる
と言うもの.
しかし,ほとんどの蛍光強度測定には,背景光,バックグラウンド光,の存在があります.
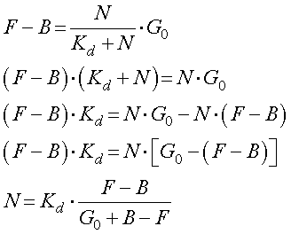
そこで,前の式に,バックグラウンド光,B,を付け加えましょう.

式を変形して,

となります.
ここで,すべてのSodiumGreenがナトリウムに結合した場合(+背景光)が最大蛍光強度になります.
そして,最低蛍光強度はまったくSodiumGreenにナトリウムが結合していない状態,つまり背景光のみです.
つまり,

ですので,上の式に代入すれば,

となって,Loの論文の式(1)となります.
実際に,ナトリウム濃度と蛍光強度の関係をプロットしてみると,

となります.