ナトリウム濃度の計算式,p358の式(1)の導出方法を考えていきましょう.
この式は,

なるもの.
本文では,
細胞壁にCCCPで穴を開けて,ナトリウムの外部濃度と内部濃度を等しくした
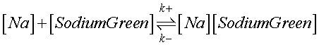
ナトリウムとSodium Greenは1対1で結合する
とあります.
そこで,反応式を考えましょう.

ここで,簡単に,

としましょう.
この実験系では,本文での,F,はナトリウムが結合したSodiumGreenの蛍光を見ているのですので.

ここで,もう一つの条件を設定します.
それは,
SodiumGreen全体の濃度は一定であること
です.つまり,
![]()
です.
ここで,G0は一定の値です.
これを元に,定常状態での蛍光強度がナトリウム濃度にどう影響するかを見ていきましょう.