指数の差分とからガンマ分布との対応

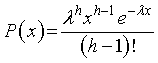
さて,ガンマ分布,

と,

とがどう結びつくのかを考えていきましょう.
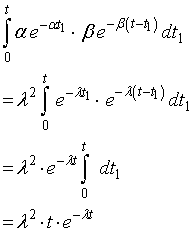
逐次反応で述べたように,式の最初は,

を解くところから始めています.ここで,
 λ=α=β
とおきましょう.

となります.

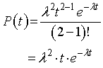
ガンマ分布において,

とおきかせえ,さらに,h=2,として計算すると,

となり,見事同じになりました,めでたしめでたし.