ボルツマン分布からエネルギー等分配則を求めてみる-02

 

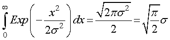
さて,以下の正規分布は規格化されていますので,

全領域(-∞~∞)を積分すると,となります.それならその半分(0~∞)は0.5ですよね.

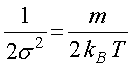
ここで,

とおけば,

生物学におけるランダムウォーク の日本語版のp.73の(5.8)式の分母となります.

次は,問題の分子を考えていきましょう.

 

l tr