ポアッソン分布の性質-03-分散

 

分散は,ここ,で説明したように,

を使って考えていきましょう.

分散の計算は,このサイト,を参考にさせていただきました,ありがとうございます.

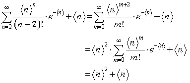
第一項は,

第二項は平均,そのものですね.

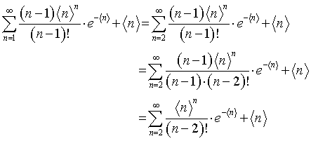
次に, n=1,は計算から除外していいので,

m=n-2,と置くと

したがって,分散は,

となって,平均値と分散値は同じ値になる,ことがわかります.

l t