具体的な例は,交通事故から.
一日平均,5人の交通事故があります.
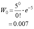
では,交通事故が0件の確率は?
ここで,
<n>=5
n=0
を代入すればいいので,

となるのです.
まれな現象ですね.
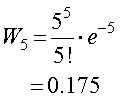
では,平均の値,5の場合はどうでしょう?
まあまあの確率ですね.
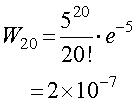
では,20人もの交通事故が起こる確率は,

とほとんど起きないのです.
これをグラフに書くと,
となります.
やはり,平均の場所が一番確率が高くなりますね.
さて,平均値をもっと大きくした場合にはどうなるでしょう?
<n>=30の場合を計算してみましょう.
すると,何かに似ていませんか?
そう,ガウス分布とほぼ等しくなるのです.
では,1分子計測において,これがどう1分子であることの証明になるかは,このページで説明します.
次に,ポアッソン分布の性質を調べていきましょう