実際の計算
では,実際に計算していきましょう.
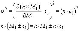
・n×(M1±ε1)
単純な,n倍,の場合です.
この場合,前の式において,

と考えればいいですね.
従って,

戻る
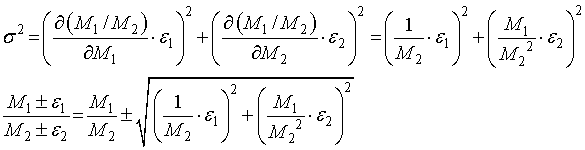
・ n/(M1±ε1)


戻る
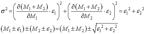
・ (M1±ε1)±(M2±ε2)


戻る
・ (M1±ε1)×(M2±ε2)


戻る
・ (M1±ε1)/(M2±ε2)


戻る
・ (M1±ε1)(M2±ε2)


戻る
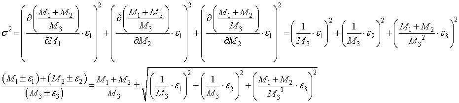
・ {(M1±ε1)+(M2±ε2)}/(M3±ε3)


戻る
・ {(M1±ε1)×(M2±ε2)}/(M3±ε3)


戻る
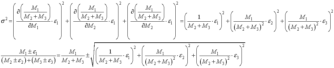
・ (M1±ε1)/{(M2±ε2)+(M3±ε3)}


戻る
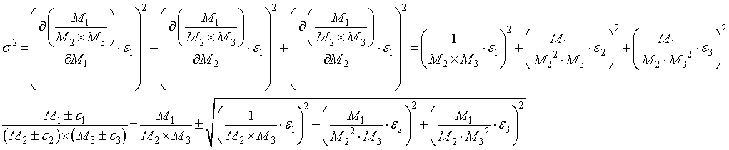
・ (M1±ε1)/{(M2±ε2)×(M3±ε3)}


戻る