直線近似の場合の誤差の推定の検証(その2)
切片あり,なしでの結果は,
切片あり

切片なし
![]()
となりましたが,この値が正しいか,検証しましょう.
残念ながらエクセルではそれぞれのパラメータの誤差の推定ができません.
ですので,他のソフト,Kyplot,Originで検証しましょう.
Kyplot
フィット → 統計/プロット → OK
で,パラメータ推定,漸近的標準誤差(SE),にそれぞれのパラメータの誤差が表示されます.
その結果は,
切片あり 切片なし

となります.
Origin
解析 → フィット → 線形フィット
切片あり 切片なし


と同じ結果となります.
ここで,注意しなくてはならないのが,標準誤差(SE),です.
ここで整理すると,
分散 = (標準偏差)2
標準誤差 =標準偏差÷(データ数)(1/2)
つまり,

ということなのですが....この標準誤差の定義はあくまでNが大きい場合であって,正確には,

のようです,何でか..は私は理解していません,ここのサイトを参考にしました.
ここで,p,は独立変数の数です.
つまり,(たぶん..),分母は,自由度の平方根,であると思われるので,
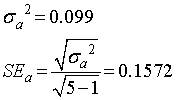
y=ax : 自由度=5-1=4
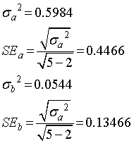
y=a+bx : 自由度=5-2=3
となります.
この値を二つのソフトは採用しているようです.
さて,実際に計算してみると,
・ y=a+bx

・ y=ax

となり,見事一致しました(この独立変数,自由度に関しては,もう少し勉強しなくてはなりません....).
以上が誤差伝搬法則を用いた誤差の推定となります.