誤差の伝搬法則
まず,ある関数,を設定します.
![]()
それぞれの,x,が正しい場合には,y,は真の値をとりますが,実際にはそれぞれに誤差を含みます.
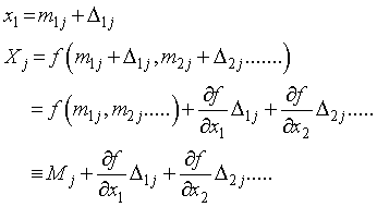
そこで,j回目の測定値を,m1j, m2j.....とすると,

と書き換えることができます(2番目の式変形は,ここ,をご覧ください).
![]()
とすると,

となりますので,この二乗の総和の平均をとると,

となります.
後半の項目

は誤差が正規分布に従うとすると,おのおの正,負をとる確率は等しくなるので,結局ゼロとなります.
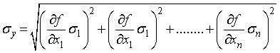
従って,y,の値の平均二乗誤差を,σy,とすると,

と計算することができます.
では,具体的な計算をしていきましょう.