さて,実際の実験,調査では,全てのデータをサンプルするわけにはいきません.

ごく一部のみをサンプルして,全体の様子を調べるのです.
ここで,
全体の集団=母集団
サンプルした集団=標本
と定義して,それぞれの平均,分散を,
母平均 : μ
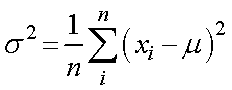
母分散 : σ2
標本平均 : ![]()
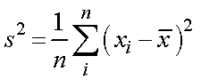
標本分散 : s2
として,考えていきましょう.
ここで,母集団の分散の推定量は,

ですが,実際の実験で得られた分散値,s2,は,

となり,本来の推定量,σ2,より小さくなる傾向があります.
この理由と対策を考えていきましょう.