シミュレーションのすすめ-拡散-02
前ページの計算は,エクセルで単純に再現できます.

これがその一例です.
エクセルにもランダム関数(RAND())があり,0~1,の任意の値を作成してくれます.
このランダム関数が本当にランダム関数か?と言う問題は実はあるらしく,気になる方は,ここ,を参考にされたらよいでしょう(通信総研,田中さん情報ありがとうございます).
さて,上のグラフは,
nステップ
+1,-1,ずつ変位
という条件の下の計算でしたが,具体的な値,ステップの大きさ,ステップ間隔はどのように決定していけばよいでしょう?
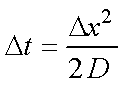
それには,拡散の式,そのものを利用すればよいのです.
拡散の式は,

ですので,これからステップの大きさ,ステップ間隔,を決定することができます.つまり,

という関係になるのです.
Δxを任意に決定すれば,Δt,が拡散係数を用いて決定できます.
逆に,Δtを任意に決定すれば,Δxを決定できます.