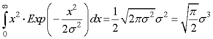
さて,分子は,

でした.ややこしい積分ですね...ただ...よく見ると,積分の中身は,
変数の二乗 × 正規分布
ですよね?つまり...
正規分布の二乗平均
を行っていることになります(全領域ではなく,半分ですが).そうなると簡単ですね.つまり,

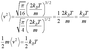
となります.領域を半分にして整理すれば,

となります.

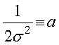
とおけば,

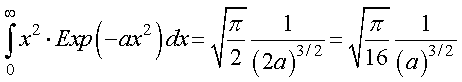
となります.ここで,

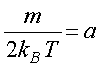
と対応づけられますので,

と生物学におけるランダムウォーク の日本語版のp.73の(5.8)式の分子となります.
後は,その割り算なので,

と等分配の法則を導き出すことができました.