太陽が横切る時間
さて,以下の図のようなモデルを考えましょう.

太陽より地球の方が大きいのは,図がごちゃごちゃしないためですので,気になされないように...
ここで,太陽が横切る時間は,
2×ψ'
となりますので,ψ,を求めればいいのですね.

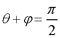
は,クリアですが,

ともなります.

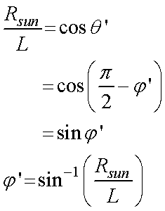
の関係と,
![]()
から,

となります.
さて,この計算は結構面倒なので,近似として,
![]()
を使えば,とても簡単になり,

となり,

となります.
ここで,
太陽の半径 : 696,000,000 m
太陽と地球との距離 : 150,000,000,000 m
を代入して見ると,
2×ψ=0.53°
時間に直すと,
2分ちょっと
となり,11分の差を完全に埋めることはできませんでしたが,ちょっとは近づきました.
太陽が完全に沈むまで2分ちょっとなのですね...
で...残りの11分ー2分=9分の差は...すいません..わかりません...