パイプ内の拡散(ランダムウォークの計算を考える),その1
さて,次の課題は,
一次元拡散運動を考える
x>0において,C=C0,x>0においてC=0
と言う条件です.
つまり,
原点より+側に粒子があり,-側にはない,その際の拡散の様子
を考えるものですね.
一次元の拡散方程式は,

となります.
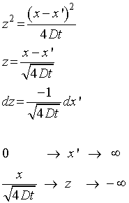
ある,x,の地点での濃度変化を知りたいので,まずは積分範囲を粒子がある範囲,0<x'<∞,で計算しましょう.

変数変換して,積分範囲を変更します.

従って,

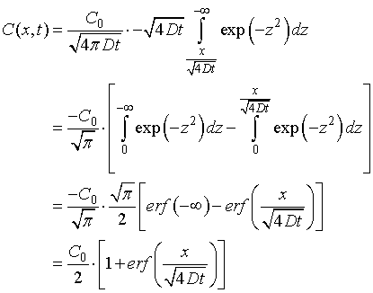
を計算すればいいのです.
積分を二分して,

と,(2.13),を再現できました.
これを図示すると,