二次元拡散運動について-02

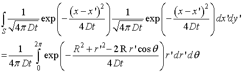
極座標変換から,

となります(導出方法は,ここ,をご覧ください).
従って,

となります(指数の中の変換に関しては,ここ,をご覧ください).

この計算は...とっても難しいので,Mathematica,にお願いしました.
結果は,

となります.
従って,

を得ることができます.

さて,先ほどの式,残念ながら,この積分は解くことができません.
そこで再度登場するのが,Mathematica,です.
数値積分で計算できます.

l t r