ある範囲から発せられた粒子の拡散運動(1次元) ,その2

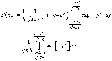
さて,変数変換した積分は以下のようになります.

だいぶ誤差関数の式に近づいてきましたが,まだ積分範囲が違いますね.
誤差関数の場合は,0~○○,となっていますので.

そこで,

と二つに分けることができます.
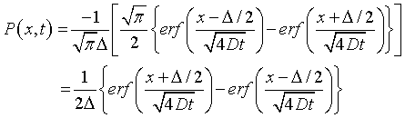
これで,それぞれを誤差関数として表すことができ,

とすることができます.

l t r