1点から発せられた粒子の拡散運動

拡散の様子は,フィックの第2の方程式を解くことによって解が得られます.
詳しくは,生物学におけるランダムウォーク,をご覧ください.

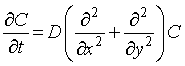
Dは拡散定数です.これは,1次元の場合であって,

2次元:

3次元:

となります.

さて,これを解くのですが,これがなかなか大変なので,結果だけを示すと,

となります,これは1次元の場合です.
2次元になると,

3次元では,

となります.

l t r