さて,運動方程式の項で,慣性力,粘性力,弾性力をまとめて運動方程式を記述しましたが,つまりこの三つは同じ働きをするものとも考えていいのです.
つまり,上の設定では,慣性力だったのを,弾性力,粘性力,で置き換えてもいいのです.
では,粘性力で置き換えてみましょう.
先ほどは,Rだけ離れたところにおもりをつけましたが,今回は,おもりではなく,球体をつけて周囲の粘性抵抗を受けるようにしましょう.

すると,式は以下になります.
![]()
ここで,半径Rを周回する物体の速度はどう計算すればよいでしょう?
半径Rの円周は,2πR.
そこを1秒間にf周回るとすると,
![]()
さらに,半径rの球体の場合の粘性抵抗係数は,
![]()
となるので,

となります.
ここで,ωは角速度です.
ここでもう一つ重要なファクターが.
それは物体の自転運動.
今までは,回転中心を周回する物体の,いわば,公転運動を見ていたのですが,もう一つ,回転中心を1周する間に自転運動もするのです.
このように,中心から離れて固定されながら回転する物体は1周する間に,自分も一周します.
この自転において,物体を自転させるのに必要なトルクは,

となります.
これは並進運動の,
![]()
と対応します.
球体の場合の,回転の粘性抵抗係数は,

となり,回転の時間微分は角速度となるので,

となります.
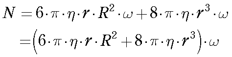
二つをあわせて,

となります.
このように,
回転する球体の半径,r
回転の大きさ,R
角速度,ω
溶液の粘度,η
から,回転体の発生するトルクを見積もることができます.