さて,力学でなじみの深い単語に,運動量,と言う言葉があります.
これは,運動方程式とどう関連があるのでしょう?
運動量は,以下の式で表します.
![]()
p:運動量 [kg.m/s]
v:速度 [m/s]
運動量とは運動の勢いを量として表したもので,式の通りに,重いものほど,速度が高いものほど大いい,となります.
この運動量,と言うものは保存します.
ビリヤードを思い浮かべてみると,わかりやすいです.
打ったボールが別のボールにぶつかると,これら二つのボールは別の方向に進みます(たまには同じ方向ですが).そのときのそれぞれの運動量の和は最初のボールの運動量に等しくなります.
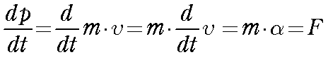
また,速度の微分(時間変化)が加速度となるので,

となり,運動量の微分が力となります.
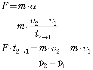
また,質量,m,の物体に力,F,をある時間,t,加えると,

となります.
つまり,運動量の変化(p1からp2)は力と時間の積に等しいこととなります.
この,力と時間の積のことを,力積,と呼びます.
次は,ヤング率について説明しましょう.